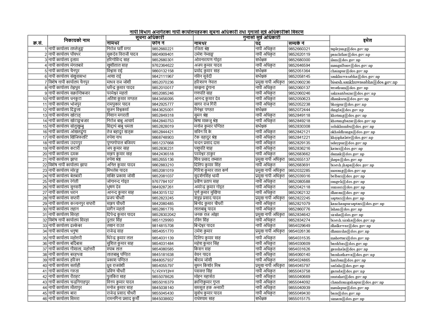
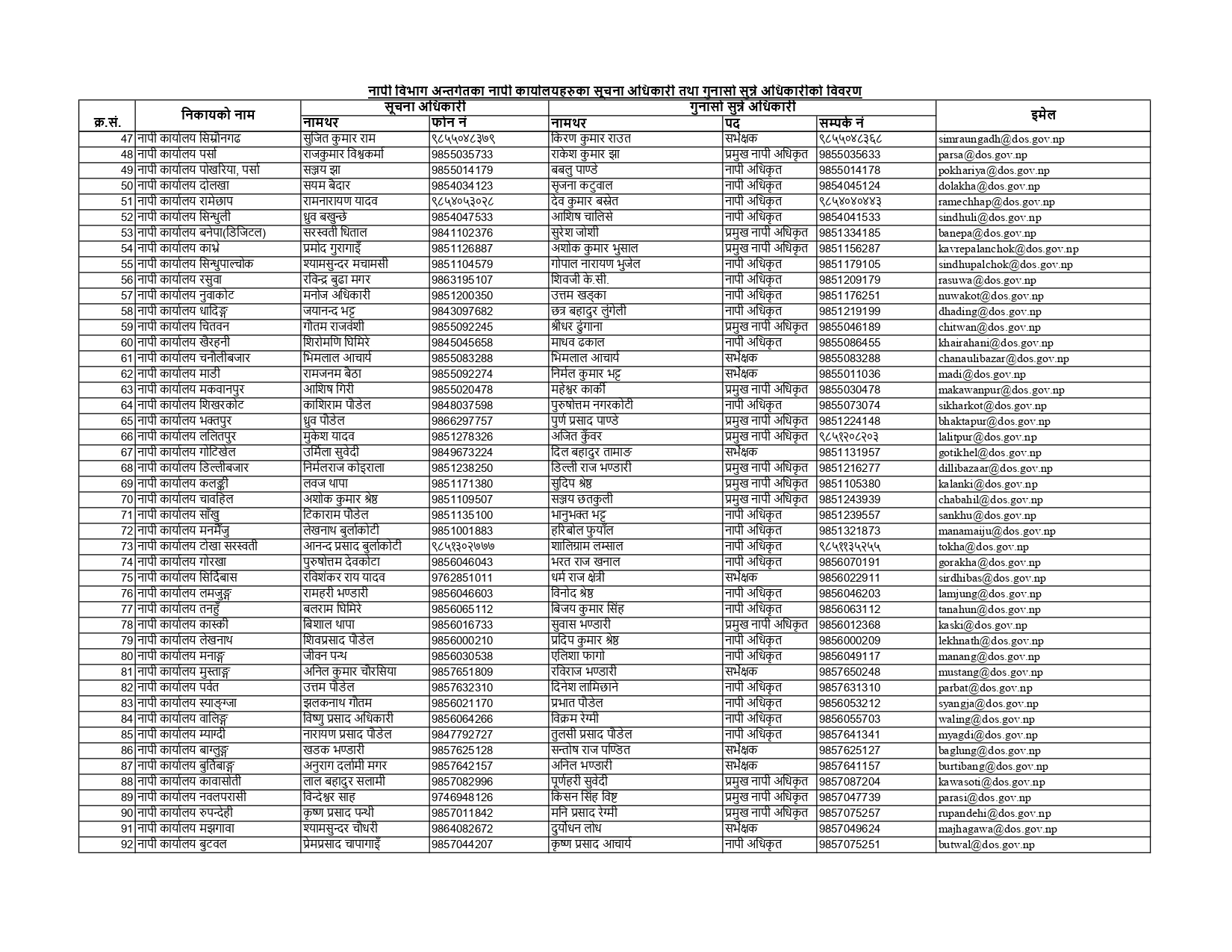
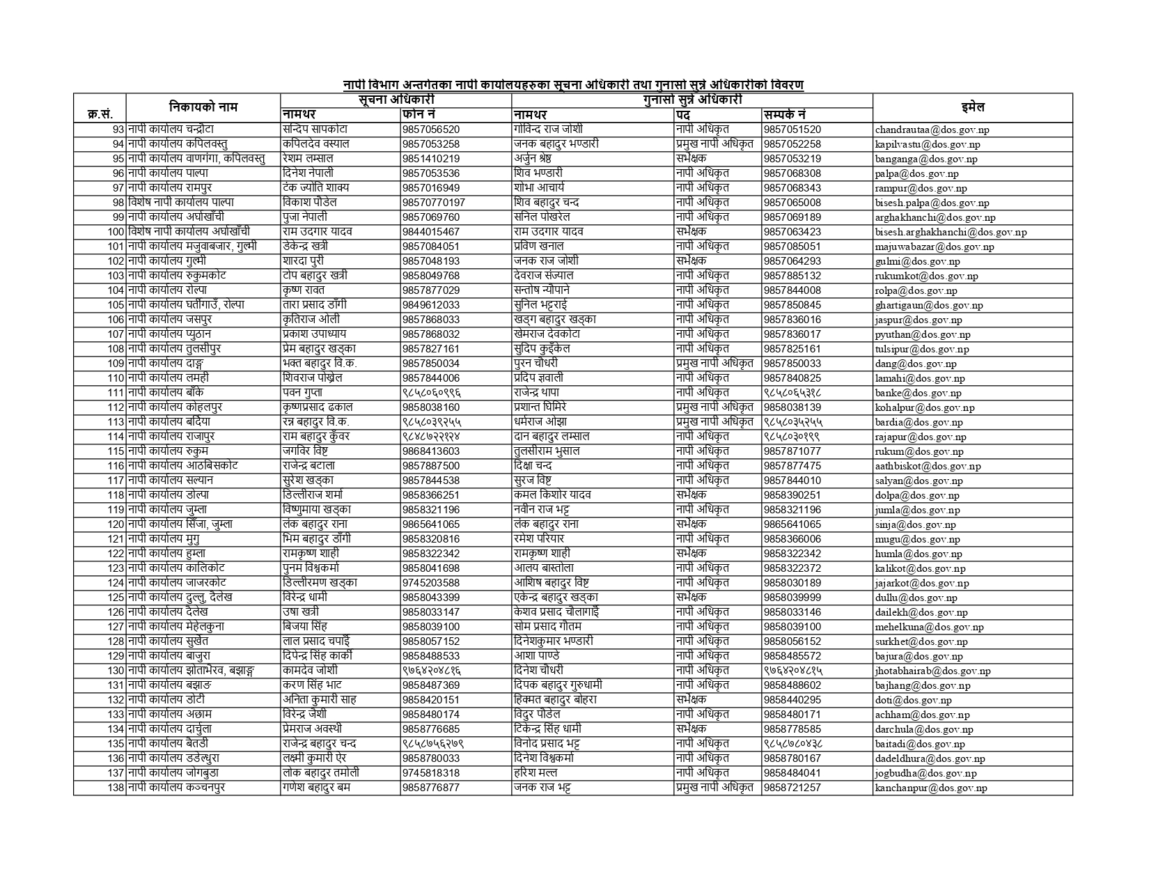
भूमि व्यवस्था, सहकारी तथा गरिबी निवारण मन्त्रालयले मातहतका विभाग तथा कार्यालयका सूचना अधिकारी तथा गुनासो सुन्ने अधिकारीहरूको विवरण सार्वजनिक गरेको छ।
मालपोत र नापी विभाग तथा कार्यालयहरूका सम्बन्धित अधिकारीको विवरण सार्वजनिक गरिएको हो।
नागरिकलाई सहज सूचनाकाे पहुँच स्थापित गर्न सूचना अधिकारीहरूको मोवाइल नम्बर तथा इमेल सार्वजनिक गरिएको छ भने कार्यालयबाट हुने सेवा तथा भूमि सम्बन्धी कुनै समस्या भएमा तत्कालै जानकारी गराउनका लागि गुनासो सुन्ने अधिकारीको व्यवस्था गरेको हो।
गुनासो सुन्ने अधिकारीको पनि मोबाइल नम्बर र इमेल ठेगान सहित विवरण सार्वजनिक गरिएको छ।
साथै सबै कार्यालय प्रमुखहरूलाई समेत सूचना प्रभाव र गुनासो व्यवस्थापनलाई सक्रिय बनाउन निर्देशन दिइएको छ।
मातहतका सूचना अधिकारी तथा गुनासो सुन्ने अधिकारीलाई कार्यालय समयमा अनिवार्य फोन उठाउन भनिएको मन्त्रालयले जनाएको छ।
देशभरका मालपोत कार्यालयका सूचना अधिकारी र गुनासो सुन्ने अधिकारीको विवरण:
























